Average and standard deviation

While working on the climate data processing programs I needed a tool to quickly calculate average and sigma of large sets of data in ascii format. Using my (t)rusty old HP 11C is not an option. One error while typing a number and you have to start all over.
So I wrote a small program in Modula-2: avgstd.mod Below is the source.

Avgstd.mod

MODULE avgstd;

IMPORT	ASCII, Arguments, TextIO, InOut, MathLib, Strings;

VAR	inf		: TextIO.File;
	fileName	: ARRAY [0..63] OF CHAR;
	x, sx, sx2	: REAL;
	n		: CARDINAL;
	ch		: CHAR;

PROCEDURE init;

VAR	count	: SHORTCARD;
	buffer	: Arguments.ArgTable;

BEGIN
  Arguments.GetArgs (count, buffer);
  IF  count = 1  THEN
    InOut.WriteString ("Please specify a file to read");
    InOut.WriteLn;
    HALT
  END;
  Strings.Assign (fileName, buffer^ [1]^);
  TextIO.OpenInput (inf, fileName);
  IF  NOT TextIO.Done ()  THEN
    InOut.WriteString ("Could not open file ");
    InOut.WriteString (fileName);
    InOut.WriteString (", aborting now");
    InOut.WriteLn;
    HALT
  END;
  n   := 0;
  sx  := 0.0;
  sx2 := 0.0
END init;

BEGIN
  init;
  LOOP
    TextIO.GetChar (inf, ch);
    IF  ch = '#'  THEN
      REPEAT  TextIO.GetChar (inf, ch)  UNTIL  ch = ASCII.LF
    END;
    TextIO.GetReal (inf, x);
    IF  NOT TextIO.Done ()  THEN  EXIT  END;
    INC (n);
    sx := sx + x;
    sx2 := sx2 + x * x
  END;
  TextIO.Close (inf);
  InOut.WriteString ("Samples = ");	InOut.WriteCard (n, 5);		InOut.WriteLn;
  InOut.WriteString ("Average = ");
    InOut.WriteReal (sx/MathLib.real (n), 10, -3);
    InOut.WriteLn;
  InOut.WriteString ("Std dev = ");
    InOut.WriteReal (MathLib.sqrt ((sx2 * MathLib.real (n) - sx * sx)/MathLib.real (n * (n - 1))), 10, -3);
    InOut.WriteLn;
  InOut.WriteLn
END avgstd.
   
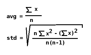
It's a small source. The algorithm may be interesting since it is single pass data processing. The formula is in the picture above.

Data file format

The input file format is easy:

And here's an example:
# commentaar

	1    
	2.0    
	.474  
	3.0 
	4.0      
	5.0 
	6.0 
	
	

   

See it run

If you feed the above datafile into avgstd, you get this:

jan@oxygen ~/Modula/klim$ ./avgstd test
Samples =     7
Average =    3.068E0
Std dev =    2.055E0

   
But you might as well use:
jan@oxygen ~/Modula/klim$ cat test | ./avgstd -
Samples =     7
Average =    3.068E0
Std dev =    2.055E0